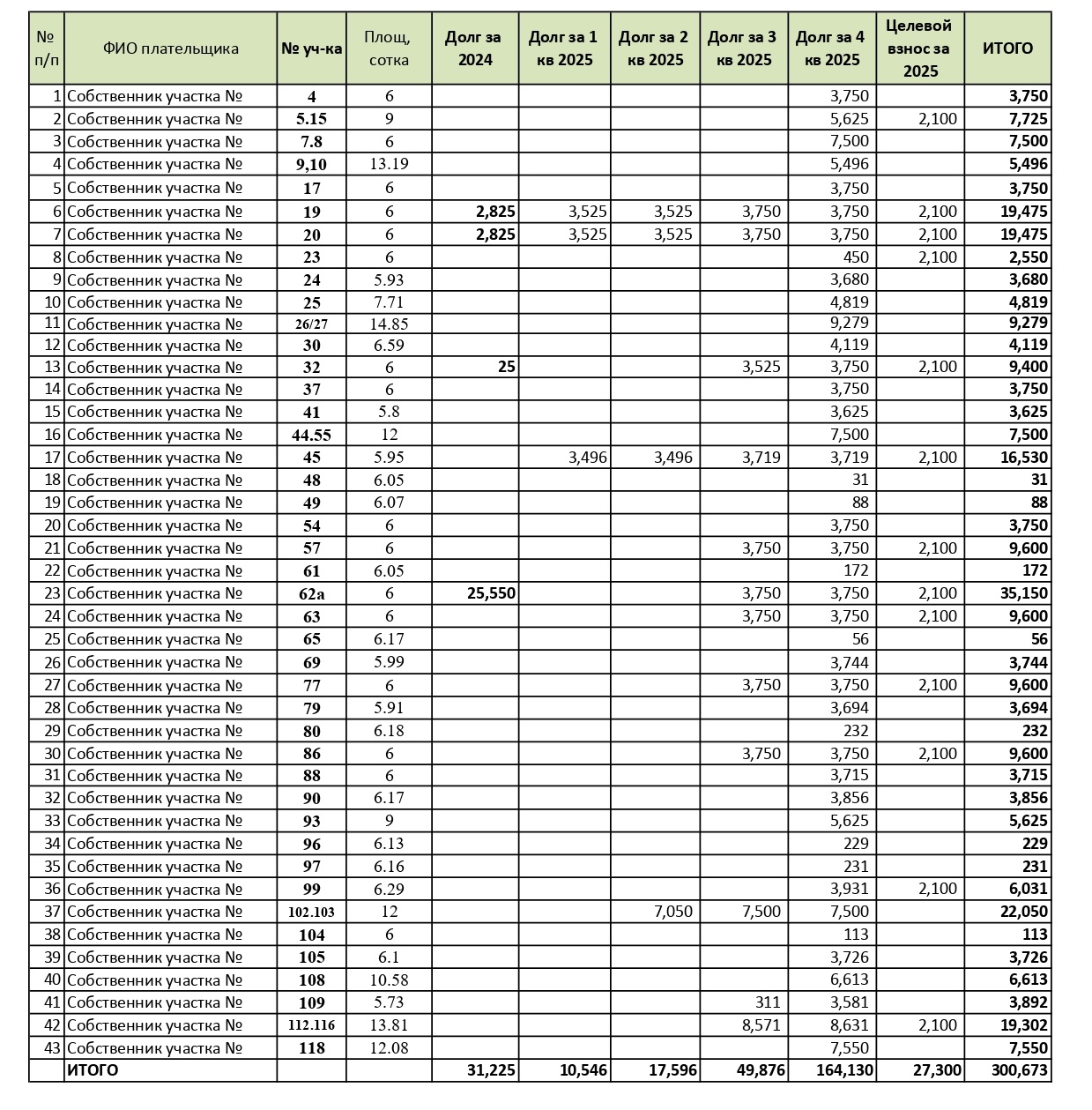
Размеры взносов (платы) и сроки оплаты утверждены решениями общих собраний от 13.07.2024 г. и от 19.07.2025 г.
10 января 2025 г. ИСТЕК срок оплата взносов за 1 квартал 2025 г.
10 апреля 2025 г. ИСТЕК срок оплаты взносов за 2 квартал 2025 г.
10 августа 2025 г. ИСТЕК срок оплаты взносов за 3 квартал 2025 г.
31 августа 2025 г. ИСТЕК срок оплаты целевого взноса на ремонт ВЗУ
10 октября 2025 г. ИСТЕК срок оплаты взносов за 4 квартал 2025 г.
По состоянию на 02.11.2025 г. в Товариществе имеются должники по уплате членских и целевых взносов (на карте должников обозначены желтым цветом), а также злостные неплательщики взносов, которые регулярно оплачивают с большим опозданием или не платят совсем (на карте должников обозначены красным цветом). Таблица с суммами ниже.

